Test Bank Pharmacology and the Nursing Process 10th Edition by Lilley
Test Bank Pharmacology and the Nursing Process 10th Edition by Lilley
Couldn't load pickup availability
What Is Included in This Test Bank
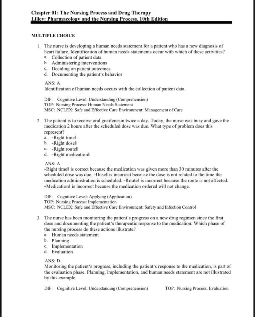
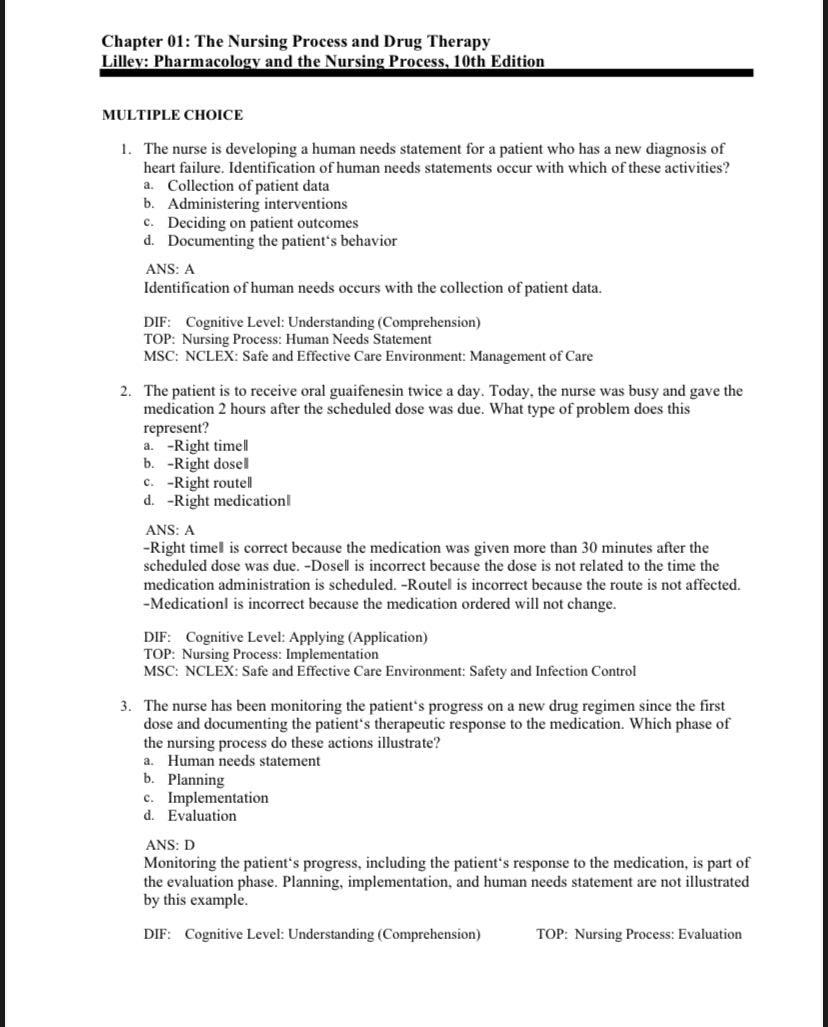
This Pharmacology and Nursing Process test bank offers a comprehensive set of exam-focused questions designed to help nursing students apply pharmacologic concepts within the nursing process framework.
Includes:
-
Multiple-choice and clinical application questions
-
Case-based questions emphasizing assessment, planning, implementation, and evaluation
-
Detailed rationales explaining correct and incorrect answers
-
Content aligned with the 10th edition of Pharmacology and the Nursing Process by Lilley
Customers are saying

More Information
What Is a Nursing Test Bank
A nursing test bank is a study resource designed to help nursing students practice exam-style questions and reinforce key concepts covered in their coursework. Test banks are commonly used to prepare for nursing program exams as well as standardized exams such as NCLEX, HESI, and ATI.
How Test Banks Help With Exam Preparation
Test banks help nursing students improve clinical judgment, critical thinking, and prioritization skills. By practicing NCLEX-style and application-based questions, students can better understand how to apply theoretical knowledge in real clinical scenarios and feel more confident during exams.
Test Bank vs Textbook
A test bank is not a textbook and does not replace official course materials. It is intended for exam preparation and practice only. Test banks are designed to supplement learning by providing additional questions and explanations that reinforce key topics.
Who Can Use This Test Bank
This test bank is suitable for RN and BSN nursing students enrolled in nursing programs. It can be used for course exams, clinical preparation, and standardized exam preparation, including NCLEX, HESI, and ATI.
Frequently Asked Questions
Is this test bank helpful for NCLEX?
Yes. The questions are designed in an exam-style format that supports NCLEX preparation.
Can this test bank be used for ATI or HESI exams?
Yes. The content is suitable for ATI, HESI, and other nursing program exams.